魔域掉钱版和怀旧版《魔域》11月12日、19日并服预告
本文由第三方AI基于17173文章提炼总结而成,魔域掉钱版和怀旧版可能与原文真实意图存在偏差。不代表网站观点和立场。推荐点击链接阅读原文细致比对和校验。
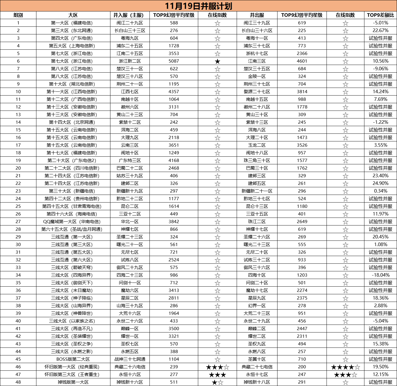
《魔域》11月12日、19日并服预告
2025-10-30 16:17:49
17173 新闻导语
《魔域》11月12日、19日并服预告公布!了解2025年11月并服筛选规则,包括基础条件、TOP9幻兽星级平均值计算及差额比例。玩家可反馈意见,调整计划。
2025年11月并服筛选规则:
一、基础条件(需要全部满足)
1、开服时间≥3个月;
2、距离上一次并服≥3个月;
3、并出服+并入服的在线指数总和≤10星(根据服务器在线热度计算,在线人数越多,指数越高)。
二、筛选步骤(满足基础条件的前提下进行筛选)
1、取2025年10月26日维护时,游戏内单个服务器幻兽星级排行榜前9名的幻兽数据,计算出单个服务器前9只幻兽星级的平均值;
2、将同一大区下的服务器进行两两比对,筛选出差额比例小于25%(正负25%)的服务器组合进行并服;
差额比例计算公式:(并入服TOP9幻兽星级平均值/并出服TOP9幻兽星级平均值)-1
注:本月为使用TOP9幻兽平均星级差距值筛选服务器进行试验性并服,后续将根据本次情况进行调整。同时,官方将视服务器具体实际情况进行选择性并服。
现将2025年11月份并服计划公布如下,如有异议请于本公告首次发布起7日内拨打客服电话或前往客服中心gm.99.com进行反馈;同时,您也可登录游戏通过卡城NPC并服调查特使·罗迪(262,516)前往【并服反对】活动页面提交意见噢!
并服预告不代表最终情况, 每月并服前将参考玩家反馈意见,视情况对并服计划进行相应调整,最终以并服完成公告为准。


【来源:官方】
关于魔域的新闻

17173全新怀旧频道已上线!推荐怀旧网游,重温老玩家故事。>>>点此进入怀旧频道
我想了解这个游戏:
官网 专区 下载 礼包
猜你喜欢:
→ 是你想要的样子吗?《剑灵怀旧服》近期相关爆料与资讯汇总
→ 防不胜防割粉丝韭菜!DNF反诈第一人被捕入狱,两年诈骗400万元
